计算机组成体系结构复习笔记
期末计组复习笔记
整个学习的结构

寄存器

MIPS所采用的寄存器如上图所示,下面列出几个常用的寄存器
$zero存储唯一值——0$a0-\$a3这三个寄存器存储函数参数$t0-\$t7、$t8-\$t9存储临时变量;注意这两组寄存器并不相连$s0-\$s7用于保存变量的值$sp保存栈指针;指向栈顶位置$ra存储下一条需要执行指令的地址
指令自查表


汇编语言与汇编指令
常用的MIPS指令
算术运算
add
加法
add $Destination,$num1,$num2
上述等价于—> Destination = num1 +num2
sub
减法
sub $Destination,$num1,$num2
上述等价于—> Destination = num1 - num2
addi
加立即数immediate
addi $Destination,$num1,num2
num2是一个数字而非寄存器
📌注意!没有subi;subi可以用addi加负数代替
addu&subu
不检测溢出的加减法
addu $Destination,$num1,$num2
subu $Destination,$num1,$num2
Ada检测溢出、C不检测溢出
因此,编译器对于溢出的会按照语言的不同来转换不同的机器指令
addu和subu就是不检测溢出的指令
内存相关数据传送
lw
LoadWord 从内存中加载一个字(通常是32位)
lw $t0,offset($s0)
表示从$s0指向的内存地址加offset偏移量后取得32位数据存入寄存器t0
此处的$s0实际上存储的是一个指针

上图中内存指针指向1B;在1B的基础上+offset,以此为起始位置,取一个字放入$t0
sw
StoreWord 向内存中存储一个字(通常是32位)
sw $t0,offset($s0)
和上图原理一致,只是方向相反,取$t0的值,在$0指向的内存地址上+offset作为起始地址存储一个Word
字对齐:相邻字之间的地址相差四个字节而不是一个字节
lb&sb
LoadByte
lb $s0,3($s1)
从$s1+3的地址开始取一个Byte的数据存入$s0
🤦♂️这里出现问题了,寄存器有4Byte,要存入1Byte怎么存放呢?
答案是将这8bits存到寄存器的低8位,高24位 符号位扩展
- 对于有符号数
- 符号位扩展:高24位与符号位相同(lb默认操作)
- 对于无符号数
- 零扩展:高24位均取0
- 有一条特殊指令
lbuLoadByteUnsighed;该指令会对高位进行零扩展
StoreByte
sb $s0,3($s1)
从$s0中取一个Byte存入内存中$s1+3的位置
😶32位寄存器中取8位存入,那剩下的24位怎么办?
比较指令
beq
相等
$beq $reg1,$reg2,Label
当 reg1==reg2 时跳转到 Label 处
bne
不相等
$bne $reg1,$reg2,Label
当 reg1 != reg2 时跳转到 Label 处
j
无条件跳转
j Label
跳转到 label处
slt
Set on less than;
slt reg1,reg2,reg3
- reg2<reg3 reg1=1
- 否则 reg1=0
使用这一条指令,可以实现
<、>、≤、≥的判断
小于
if (g<h) goto Less; #变量映射是 g:$s0,h:$s1
------------>
slt $t0,$s0,$s1
bne $t0,$0,Less
大于等于
if (g≥h) goto GTE; #变量映射是 g:$s0,h:$s1
------------>
slt $t0,$s0,$s1
beq $t0,$0,GTE
小于等于
if (g≤h) goto LTE; #变量映射是 g:$s0,h:$s1
------------>
slt $t0,$s1,$s0
beq $t0,$0,LTE
大于
if (g>h) goto LTE; #变量映射是 g:$s0,h:$s1
------------>
slt $t0,$s1,$s0
bne $t0,$0,LTE
👉还有立即数比较的
slti无符号比较的
sltu
跳转指令
jr
Jump Regster 直接跳转寄存器
jr $reg
最常用的就是直接跳转到 $ra 即下一行要执行指令的位置
jal
Jump and Link 跳转并保存
jal Label
- Link 保存下一条指令的地址到$ra
- Jump 跳转到给定标记处
逻辑运算
and
按位与运算
and $reg1,$reg2,$reg3
reg1=reg2®3
andi
与立即数进行与运算
and $reg1,$reg2,immediate
reg1=reg2&immediate
⭐使用掩码做与运算将位串的特定部分分离出来
1110&0011 = 0010 即分离出了后两位
or
按位与运算
or $reg1,$reg2,$reg3
reg1=reg2®3
ori
与立即数进行与运算
ori $reg1,$reg2,immediate
reg1=reg2|immediate
⭐任何数与1做或为1,与0做或为原数—>强制某些位为1
sll
Shift Left Logical 逻辑左移
sll $reg1,$reg2,num
将reg2里的值左移num位放入reg1中
空出来的位填0
srl
和sll类似,不过右移num位
空出来的位填0
sra
Shift Right Arithmetic 算术右移
左移num位就是$ ×2^{num}$
右移$ ×2^{-num}$,或者说$ ÷2^{num}$
📌要做计算的时候记得用sra
函数调用
简单的嵌套调用可以使用寄存器约定;但是复杂的多层嵌套调用就必须使用栈了!
寄存器约定保存信息

使用栈保存信息
- 手工编译
Caller&Callee
机器语言
- I-格式
- 带立即数
- lw&sw
- 分支语句
- J-格式
- j&jal
- R-格式
- 其他所有指令
指令格式

R格式

- opcode: 所有R格式指令,此字段为0;和funct字段一起,共同确定具体的指令
- rs
Source Register确定首操作数的寄存器 - rt
Target Register确定次操作数的寄存器 - rd
Destination Register指定存放计算结果的寄存器 - shamt 包含移位指令需要移的位数;除了移位指令外,此位设为0
- add $reg1(rd),$reg2(rs),$reg3(rt)
I格式

- opcode 独立指定指令
- rs 指定寄存器操作数(如果有)
- rt 指定保存计算结果的寄存器
- addi $reg1(rt) $reg2(rs) imme
addi,slti 立即数符号扩展为32位
❓这里无符号数也进行符号位扩展,为了硬件的简单牺牲一定的数据,仅对$2^{15}\le $n$\lt 2^{16}$有问题,只能由汇编器想办法解决了
I格式问题
如何解决I格式问题?软件中处理+新指令
lui
新指令lui register,immediate
Load Upper Immediate 装入立即数高位
取立即数并将立即数放到寄存器高位部分,剩下部分填充0
PC-相对寻址
我们只有16位立即数,怎么解决32位分支指令?
PC-相对寻址作为32位分支指令解决方案
以PC为基点,分支$\pm 2^{15} $字节,保证大多数循环的寻址要求
指令是字,满足字对齐,后两位总是00
- 指定立即数immmediate以字作为单位
这样以PC为基点,可以分支$\pm 2^{15} $个字 (或$\pm 2^{17} $个字节),因此,可以处理的循环范围为原来的4倍
J格式

现在可以表示26位的地址
- 由于字对齐,默认最后两位为00 +2
- 由于PC相对寻址,从PC处取最高4位 +4
- 这样26+2+4=32;我们成功表达了32位的地址
反汇编
对于32位机器指令的解码遵循下面步骤
- 把16进制转为2进制表示
- 确定opcode和指令格式
- opcode R:0 J:2/3 I:其他
- 基于格式分割字段
- R:6 5 5 5 5 6
- I:6 5 5 16
- J:6 26
- 反汇编为MIPS汇编指令
伪指令
不能直接转成MIPS语言,先要转成几条MIPS指令的组合
MAL(MIPS Assembly Language) 包含伪指令
TAL(True Assembly Language) 不包含伪指令
C--->MAL--->TAL翻译顺序
一些常见的伪指令
move
寄存器赋值
move $reg2,$reg1
将reg1的值赋给reg2
li
装入立即数(Load Immediate)
li $reg,immediate
la
装入地址(Load Address)
la $reg,label
把label对应的地址装入reg
ror
循环右移(Rotate Right Instruction)
ror $reg,value
把寄存器中的值循环右移value位
错误操作的操作数
比如addu指令写成了addu $reg1,$reg2,immediate
会自动改写为addiu $reg1,$reg2,immediate
浮点数
IEEE754标准
标准形式

通过一个例子感受如何在二进制位串和十进制数字间进行转换
0 |0110 1000|101 0101 0100 0011 0100 0010
将上面的位串转换为十进制
- s=0 正数
- expont = 104 偏移调整104-127=-23
- significand = 1+1*$2^{-1}$+0*$2^{-2}$+1*$2^{-3}$+…+0*$2^{-23}$ = 1+0.666115
- 1.666115*$2^{-23}$ = 1.9860*$10^{-7}$
十进制转二进制

特殊数的表示

精度
- Precision 计算机一个字用于表示数的位数
精确性
- Accuracy 用于衡量精确值与计算机表示之间的差异
程序的运行

编译和翻译
高级语言的执行有两种方式
- 解释Interpreter
- 例如Python、Java;解释器读入语言并执行
- 翻译Translator
- 将程序翻译成机器语言再执行;执行效率高、隐藏源码
汇编器
1.读入并使用指示器Directive
指示器产生一系列的提示信息,不产生机器指令
2.替代伪指令
将伪指令替换为一组汇编指令
3.生成机器语言
分支怎么办?PC相对寻址
前向引用问题?分支指令引用还未遇到的标记
使用两次扫描的方式解决问题,一次扫描记住标记位置,第二次扫描使用标记位置产生代码。
跳转指令的问题?需要绝对地址
产生两张表
- 符号表
- 我有什么
- 重定位表
- 我要什么
4.生成目标文件
连接器
输入代码和信息表;输出可执行程序
使得多个文件的分离编译称为可能
- 从每个.o文件取代码段放一起
- 从每个.o文件取数据段放一起,然后整体连到代码段尾部
- 检查重定向表填充绝对地址
- PC相对寻址 不重定位
- 绝对地址、外部引用、数据引用 重定位
动态链接库DLL
便于及时更新,且体积小
静态链接库lib
装入器
操作系统的一部分,输入执行代码(.out).exe,输出正在运行的程序
电路基础和基本计算模块
同步数字系统
ISA(Instruction Structure Architecture,指令集结构)是软件与硬件之间的协议
- 同步
- 所有的操作都由一个中央时钟同步
- 数字
- 所有的值都用离散值来表示
晶体管的两种类型
- n-type
- 有电通,无电不通
- p-type
- 有电不通,无电通
信号与波形
同步数字系统由两种基本电路构成
信号正边沿触发!
- 组合逻辑电路
- 输出是输入经过一定规则后的运算结果
- 状态电路
- 存储信息
状态单元
状态单元用来储存数值,控制组合逻辑块间的信息流动;如寄存器

寄存器由多个翻转器(在0,1之间变换)组成,正边沿触发;reset是强制清零的信号
可以通过增加寄存器加快时钟频率

状态变换FSM图也可以借助寄存器来实现

电路组合
常见逻辑门的表示与真值表

异或XOR:当有奇数个1时输出1
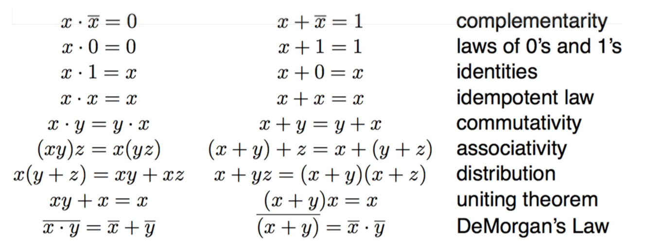
布尔代数
运用布尔代数可以化简电路

结合真值表可以设计电路
如何从真值表生成门电路呢?看下图

·是And
+是Or
图5-25中显示的是二选一MUX;利用层次结构可用二选一的MUX组合成四选一的MUX
设计ALU
32位加法器
首先画出真值表,发现有$2^{64}$个表项;太多了,我们得换个思路—->分解!
设计一位加法器
画出真值表—>写出布尔表达式并化简—>设计电路

把许多一位加法器连起来就可以构成多位加法器
溢出?不懂
减法器实际上只需要在加法器上做一点点改进就好

数据通道+控制通道
数据通道分为五步
- 取指
- 从内存中取出32位指令;PC=PC+4
- 指令译码
- 读opcode确定类型;分段;取出相关数据
- ALU
- 实际计算
- 内存访问
- 只有lw、sw此阶段工作;利用cache加快访问
- 写寄存器
需要在脑海里能够画出下面这个完整版的数据通道

控制信号的设计,其实就是opcode与funct做and运算,得到一串二进制数,这串二进制数做or运算得到所需的信号

流水线改进性能
延迟不变;增加吞吐量
结构困境
硬件不支持某些组合
- 内存同时被访问
- 设计两个内存:一个指令内存一个数据内存
- 建立两个一级缓存
- 寄存器同时被读写
- 前半段只写;后半段只读
- 构建新的reg寄存器支持同时读写
控制困境
要等分支语句的判断出来后才能进行下一步
- 阻塞no-op消耗三个时钟周期
- 优化1:插入特殊分支比较器,在第二阶段解码得出分支立即决策更新PC
- 优化2:重新定义分支;(无论是否分支,分支判断语句下一条总被执行,叫做分支延时槽Branch-Delay slot
- 也就是将不被分支影响的指令放到分支语句后执行;重新排列汇编语句执行顺序
数据困境
后方指令依赖前面指令的结果
- 前馈解决
- 添加额外硬件从ALU的计算结果中直接取出后项要用的数据
- 无法解决就阻塞+前馈
- 硬件阻塞
- 可以单独插入一个bubble在两阶段之间
- nop阻塞
- 直接插入一个nop指令什么也不做
- load之后的指令叫load delay slot
- 硬件阻塞
Cache高速缓存
利用时间局部性和空间局部性
Cache是主存的子集的一个拷贝
Cache与内存间传输数据的单位——块block

如上图,内存地址被划分为三块tag index offset
offset长度根据(能表示一个块包含的字节数来决定的位数)
index长度等于(能表示(缓存大小÷一行缓存的大小)这个的位数)
tag = 地址位数-offset和index的位数
访问cache有三种情况
- 命中
- 未命中
- 未命中且替换
访问cache有这样三步
- 看index确认cache行数
- 看tag确认是否是正确的行
- 看offset访问内容
- 如果2不满足就替换
内存读写
更新内存的方法
写内存Write Through
- 同时写内存和cache
写回WriteBack
- 只写cache,替换内存中的字为dirty;当该块缓存被替换时写入内存
最小化平均访问时间AMAT(Average Memory Access Time)
AMAT=$HitTime+MissPenalty×MissRate$
块替换策略,常用LRU
标签: 笔记, 计算机组成体系
评论
评论系统尚未配置。
评论
评论系统尚未配置。